“苏超”的余温还未散去,第二届江苏省足球发展重点城市对抗赛即将重磅回归!赛事采用主客场双回合对决,由南京队对阵苏州队,首回合较量将于11月22日19:35在南京奥体中心体育场上演。
随着赛事临近,记者从中国足协官方社会足球App“足球中国”了解到,目前南京队和苏州队的30人大名单已经公布。
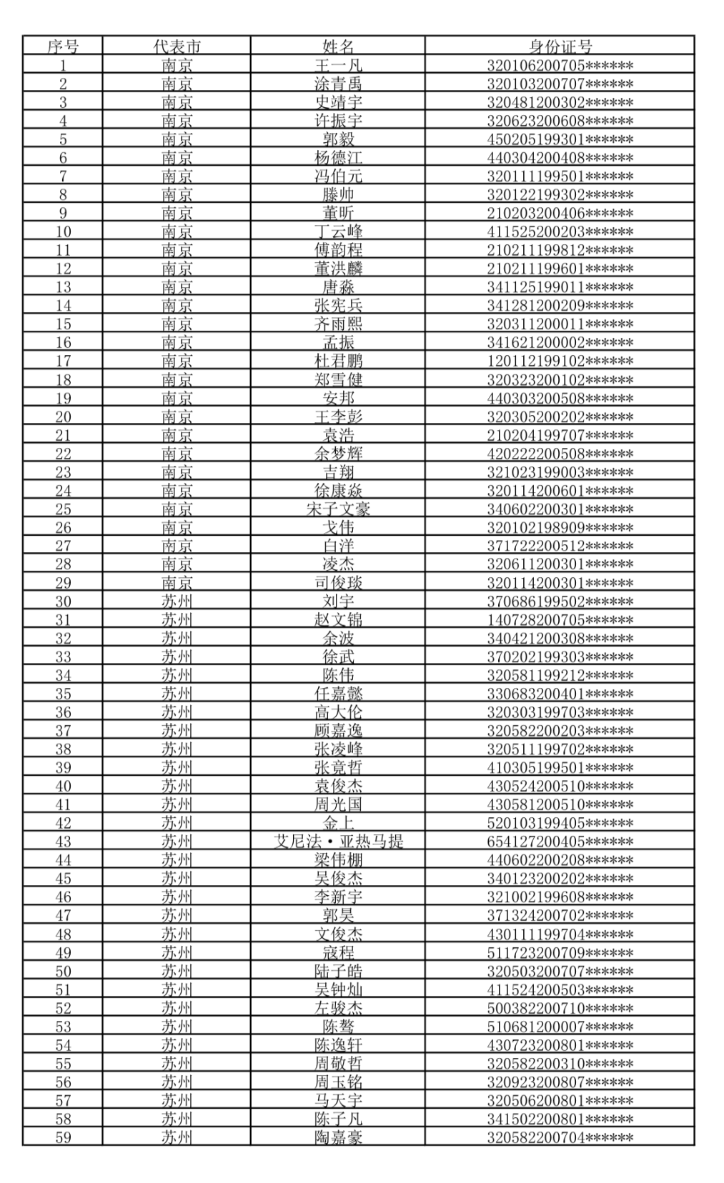
南京队方面
将由主教练张晓峰领衔
阵容方面,既有“苏超”赛场的熟面孔——滕帅、戈伟、司俊琰、宋子文豪、冯伯元、孟振等实力悍将坐镇,更有前“国脚”吉翔加盟。
值得一提的是,南京队阵容中也有“青春惊喜”:刚刚结束全运会U18男足征程的王一凡、涂青禹成功入选,据悉,名单中多达半数球员是“00后”小将。新生代球员的冲劲搭配老将的沉稳,这样的组合既稳扎稳打,又不乏热血突破。
苏州队方面
由前“国脚”李玮锋担任主帅
“苏超”苏州队球员寇程、陆子皓、赵文锦、郭昊等人加盟,同样星光熠熠。
根据竞赛规程,参赛球员需为1985年1月1日至2009年12月31日之间出生,且需满足户籍、社保、学籍或身份证属地等任一与代表城市相关的条件,同时每场比赛中2003年1月1日以后出生的球员上场人数不得少于5人,凸显赛事对年轻球员培养的重视。
在奖励设置方面,冠军球队将获得冠军奖杯、奖金及奖牌,亚军球队获颁亚军奖牌;个人奖项包括“最佳球员奖”“最佳射手奖”“最佳守门员奖”,执法裁判员也将获得纪念奖杯。
附:
关于2025江苏银行第二届江苏省足球发展重点城市对抗赛球员报名名单的公示
按照《第二届江苏省足球发展重点城市对抗赛竞赛规程》对球员参赛资格审查的相关要求,现将球员报名名单进行公示。
一、公示时间为2025年11月7日至13日。
二、在公示期内,各参赛单位对球员参赛资格如有异议,须以设区市体育局名义反馈给省体育局,连同相关证据材料邮寄至指定地址,并发送扫描版至指定邮箱。公示期结束后,不再接收各参赛单位关于球员参赛资格的举报或申诉。
联系人:刘国祥
邮寄地址:南京市鼓楼区广州路191号五环大厦
联系电话:025-86583281
联系邮箱:jsfacd@qq.com
第二届重点城市对抗赛球员报名公示
来源:江苏省城市足球联赛微信公众号、南京日报微信公众号等

新华报业网
Android版
iPhone版